One thing you have to ask yourself is how does Ge’ez/Tigrinya translation give an accurate historical and contextual etymology which makes much more sense than the manistream translations. I will leave you to your own judgement.
ENUMA ELIS – HE SAID, I AM
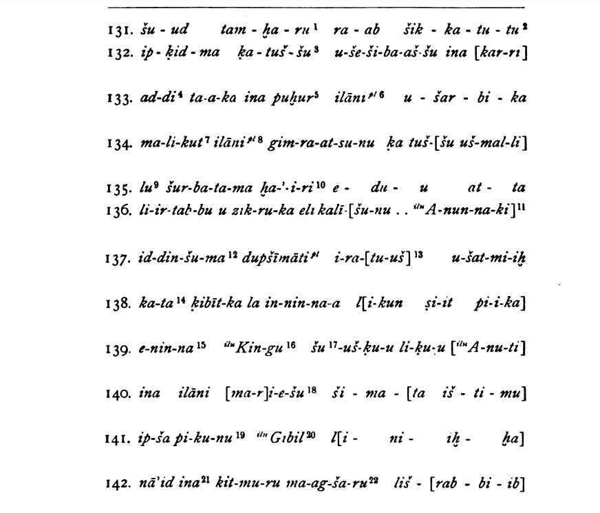
TABLET 1
shocked he fought her and he lost at that time Lahamu (The elder),
the daughter of a God he got close to her and it was his habit then,
and the father caught him stealing her,
and his punishment, in the desolate place with his hands tied,
a cave was shown to him, it was dark, and forgivness he could not find,
it was there that he was returned to imprisonment, and her cunningness then,
then she called for the elder one for his torment, his demeanour,
at that time Kingu was laughing as he flew at that time and called on the God’s.
dreary eyed asking forgivness and confessing their sins, their nature was so sweet,
then the seven refused to enter when,
She called for the one she picked to torment to enter,
The first to stand up then from the seven was horrfied,
when it was time to crossover, the burden of crying.
the signs, it was full of steam and it was filled with smoke,
to the hidden place of fire, trembling to get in,
And about his fame, that she saw, she called him,
to enter and she teared out his eyes and sends him to the dominion,
of Kingu when he tormented him and openend his mouth and pulled back,
and when the blood came out, he drank it,
and at that time Gisbar also weeped when the long,
shofar sounds and clapping that he saw.
BELOW IS THE THE TRANSLATION BY PHILIPPE TALON AND L. W. KING FOR COMPARISON






